Костін, Федоров та Смирнов під час війни систематично відвідували росію
ПОЛІТИКА
08.11.2024, 09:21

Рекордсмен по перетину кордону Андрій Смирнов, ексзаступник голови Офісу президента України.
Чинний віцепрем’єр Михайло Федоров, ексгенпрокурор Андрій Костін та ексзаступник Офісу президента Андрій Смирнов з 2014 року систематично відвідували Москву.
Про це свідчать офіційні відповіді прикордонної служби ФСБ, злиті в мережу, повідомляє УНН.
Рекордсмен по перетину кордону Андрій Смирнов, ексзаступник голови Офісу президента України, якого зараз НАБУ підозрює у незаконному збагаченні. Згідно з наявними даними з початку війни у 2014 році та практично до дня повномасштабного вторгнення, Смирнов 22 рази відвідував рф.
Нещодавно звільнений генеральний прокурор Андрій Костін був у рф 11 разів. Останній раз буквально за два тижні до президентських виборів – 19 березня 2019 року.
Окрім відправлених у відставку посадовців у переліку є і чинний віцепрем’єр з інновацій, розвитку освіти, науки та технологій України Михайло Федоров. В документах зафіксовано 12 відвідувань рф.
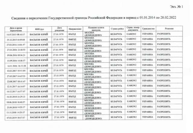
Ще один експосадовець, який засвітився в документах, колишній заступник міністра інфраструктури України Юрій Васьков. Заступник Кубракова за час війни вперше навідався до рф в червні 2015 року, а після цього здійснив ще 18 поїздок до росії.
Про це свідчать офіційні відповіді прикордонної служби ФСБ, злиті в мережу, повідомляє УНН.
Рекордсмен по перетину кордону Андрій Смирнов, ексзаступник голови Офісу президента України, якого зараз НАБУ підозрює у незаконному збагаченні. Згідно з наявними даними з початку війни у 2014 році та практично до дня повномасштабного вторгнення, Смирнов 22 рази відвідував рф.
Нещодавно звільнений генеральний прокурор Андрій Костін був у рф 11 разів. Останній раз буквально за два тижні до президентських виборів – 19 березня 2019 року.
Окрім відправлених у відставку посадовців у переліку є і чинний віцепрем’єр з інновацій, розвитку освіти, науки та технологій України Михайло Федоров. В документах зафіксовано 12 відвідувань рф.
Ще один експосадовець, який засвітився в документах, колишній заступник міністра інфраструктури України Юрій Васьков. Заступник Кубракова за час війни вперше навідався до рф в червні 2015 року, а після цього здійснив ще 18 поїздок до росії.










З якими цілями посадовці відвідували країну-агресорку невідомо. Останнім часом журналісти все частіше виявляють у правоохоронців, суддів, держслужбовців та їхніх родичів російські паспорти.