«Полтаватеплоенерго» повідомило про початок пробних пусків міських котелень

ПОЛТАВА
20.09.2019, 09:06
«Полтаватеплоенерго» повідомило про початок пробних пусків міських котелень

Комунальне обласне підприємство «Полтаватеплоенерго» інформує полтавців про здійснення пробних пусків котелень у зв'язку з початком опалювального періоду.

Відповідний графік оприлюднено на сайті відомства. Енергетики звертається до балансоутримувачів житлових будинків (ЖБК і ОСББ) з вимогою перед початком проведення пробного пуску підготувати внутрішньобудинкові системи до прийому теплоносія.

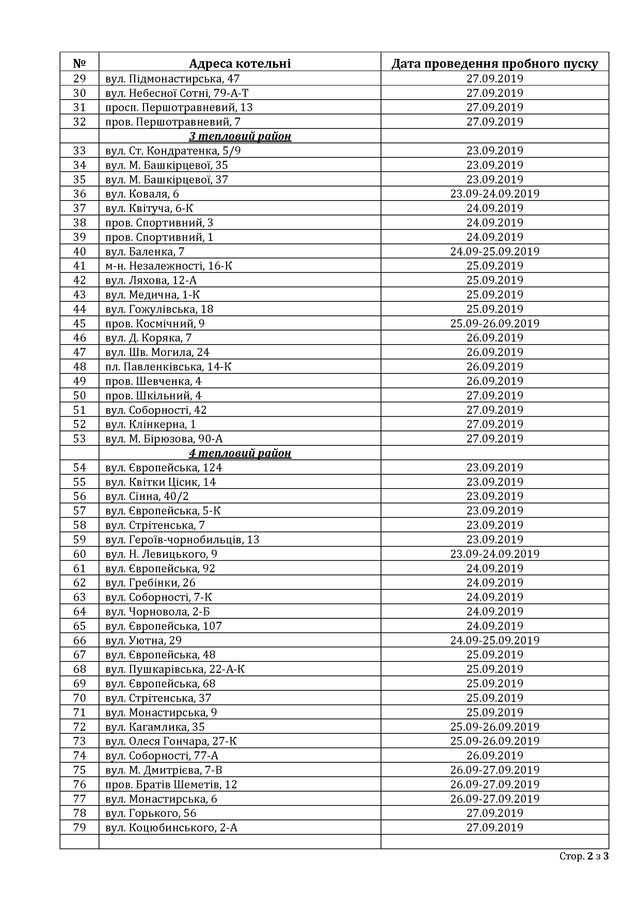
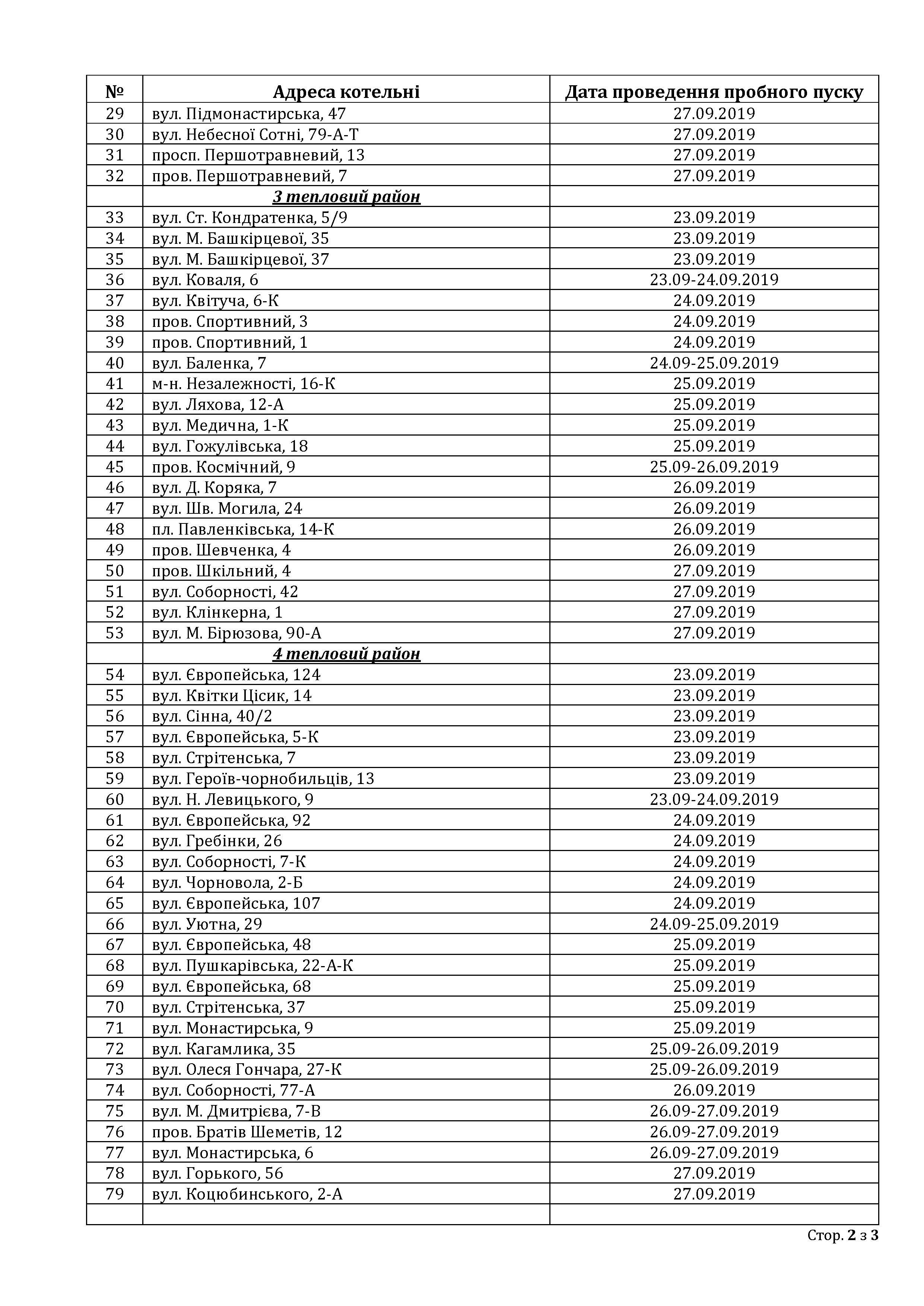
До уваги мешанців Полтави! Нижче подаємо графік пробних пусків котелень наданий «Полтаватеплоенерго»:

«Полтаватеплоенерго» повідомило про початок пробних пусків міських котелень_1

«Полтаватеплоенерго» повідомило про початок пробних пусків міських котелень_3

«Полтаватеплоенерго» повідомило про початок пробних пусків міських котелень_5

(Фото: ПОКВПТГ "Полтаватеплоенерго")

Читайте також:
Полтава
Викрито ексочільника ДПС України Олейнікова Євгенія та заступницю начальника ГУ ДПС у Полтавській області Новоженіну Наталію.
вчора, 11:31
Полтава
Головне управління ДПС у Полтавській області нагадує громадянам про можливість скористатися податковою знижкою.
14 жовтня, 13:09
Полтава
Наші педагоги — загартовані й готові до будь-яких випробувань. Сьогодні вони відзначають свій день, долаючи виклики сучасності.
05 жовтня, 09:35
Полтава
Кременчук вшановує композитора Сергія Горюновича.
02 жовтня, 13:14
Полтава
Коли директор — теща: як працює «родинна математика» у школі.
28 вересня, 11:09
Полтава
Будинок-пастка: як статус «пам’ятки» обернувся штрафами та блокуванням рахунків для військового.
24 вересня, 19:28